| Name | Last modified | Size |
|---|---|---|
| Parent Directory | [DIR] | |
| AB测试.png | 2022-February-19 02:01 | 190.72 KiB |
| CBOW公式.png | 2022-February-19 02:01 | 11.85 KiB |
| FFM特征交叉.png | 2022-February-19 02:01 | 330.9 KiB |
| FTRL共识.png | 2022-February-19 02:01 | 44.16 KiB |
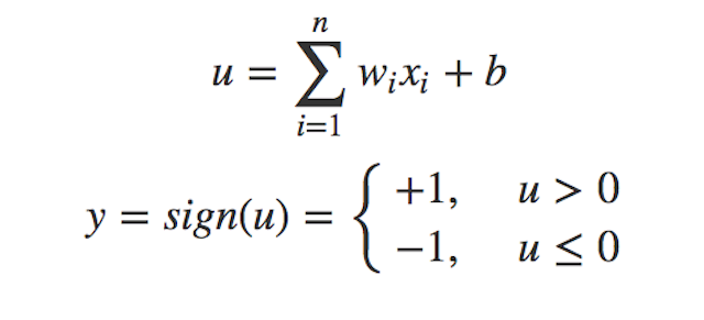
| LR.png | 2022-February-19 02:01 | 151.6 KiB |
| LR简单模型特征.png | 2022-February-19 02:01 | 397.76 KiB |
| LSH不同的地方.png | 2022-February-19 02:01 | 266.16 KiB |
| LSH官方图.png | 2022-February-19 02:01 | 389.73 KiB |
| OP名字修改.png | 2022-February-19 02:01 | 30.35 KiB |
| PR公式.png | 2022-February-19 02:01 | 18.45 KiB |
| PR计算图.png | 2022-February-19 02:01 | 105.45 KiB |
| PR迭代结果.png | 2022-February-19 02:01 | 198.36 KiB |
| ROC曲线.png | 2022-February-19 02:01 | 65.6 KiB |
| TFAPI.png | 2022-February-19 02:01 | 101.61 KiB |
| TFIDF结果2.png | 2022-February-19 02:01 | 114.27 KiB |
| TF动态图.gif | 2022-February-19 02:01 | 38.89 KiB |
| TF最新架构图.png | 2022-February-19 02:01 | 571.07 KiB |
| TF构建流程.png | 2022-February-19 02:01 | 520.34 KiB |
| Tensorboard.png | 2022-February-19 02:01 | 35.96 KiB |
| Textrank原理.png | 2022-February-19 02:01 | 57.54 KiB |
| add图.png | 2022-February-19 02:01 | 60.06 KiB |
| agent.png | 2022-February-19 02:01 | 105.59 KiB |
| als公式.png | 2022-February-19 02:01 | 9.12 KiB |
| als打分矩阵.png | 2022-February-19 02:01 | 107.17 KiB |
| brand.png | 2022-February-19 02:01 | 245.33 KiB |
| catidentity.png | 2022-February-19 02:01 | 348.63 KiB |
| count结果.png | 2022-February-19 02:01 | 119.8 KiB |
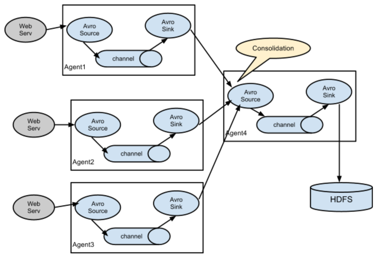
| flume.png | 2022-February-19 02:01 | 113.27 KiB |
| flumeevent.png | 2022-February-19 02:01 | 37.41 KiB |
| flume参数.png | 2022-February-19 02:01 | 206.91 KiB |
| flume参数1.png | 2022-February-19 02:01 | 412.71 KiB |
| flume外部结构.png | 2022-February-19 02:01 | 91.23 KiB |
| flume第一次收集.png | 2022-February-19 02:01 | 108.97 KiB |
| hadoopwv目录.png | 2022-February-19 02:01 | 234.31 KiB |
| hadoop启动好的.png | 2022-February-19 02:01 | 254.7 KiB |
| hadoop看sqoop.png | 2022-February-19 02:01 | 352.43 KiB |
| hash列.png | 2022-February-19 02:01 | 346.82 KiB |
| hbase启动好的.png | 2022-February-19 02:01 | 229.61 KiB |
| minihash.png | 2022-February-19 02:01 | 90.17 KiB |
| minihash2.png | 2022-February-19 02:01 | 88.92 KiB |
| playground.png | 2022-February-19 02:01 | 34.96 KiB |
| playground两类.png | 2022-February-19 02:01 | 102.18 KiB |
| premadeestirmaot.png | 2022-February-19 02:01 | 92.86 KiB |
| pycharm远程连接.png | 2022-February-19 02:01 | 182.62 KiB |
| rb概率.png | 2022-February-19 02:01 | 327.45 KiB |
| records.png | 2022-February-19 02:01 | 252.95 KiB |
| serving图.png | 2022-February-19 02:01 | 142.59 KiB |
| softmax公式.png | 2022-February-19 02:01 | 28.6 KiB |
| softmax回归.png | 2022-February-19 02:01 | 114.94 KiB |
| softmax展开.png | 2022-February-19 02:01 | 59.71 KiB |
| spark启动好的.png | 2022-February-19 02:01 | 358.85 KiB |
| sqoop导入hadoop文件数据.png | 2022-February-19 02:01 | 131.87 KiB |
| tensorflow.png | 2022-February-19 02:01 | 193.46 KiB |
| tensorflowgithub.png | 2022-February-19 02:01 | 92.33 KiB |
| tensors_flowing.gif | 2022-February-19 02:01 | 9.91 MiB |
| textrank公式.png | 2022-February-19 02:01 | 25.29 KiB |
| textrank词性.png | 2022-February-19 02:01 | 491.94 KiB |
| tfdataset格式.png | 2022-February-19 02:01 | 66.86 KiB |
| tfidf结果.png | 2022-February-19 02:01 | 127.58 KiB |
| wide&deep模型.png | 2022-February-19 02:01 | 296.12 KiB |
| word2vecnn.png | 2022-February-19 02:01 | 122.42 KiB |
| 与或问题.png | 2022-February-19 02:01 | 39.41 KiB |
| 两类数据分类.png | 2022-February-19 02:01 | 113.15 KiB |
| 中间计算结果.png | 2022-February-19 02:01 | 190.26 KiB |
| 交叉损失理解.png | 2022-February-19 02:01 | 124 KiB |
| 交叉熵损失公式.png | 2022-February-19 02:01 | 23.27 KiB |
| 传播算法演示.png | 2022-February-19 02:01 | 175.78 KiB |
| 关联推荐结果.png | 2022-February-19 02:01 | 239.31 KiB |
| 关联结果1.png | 2022-February-19 02:01 | 334.04 KiB |
| 区别.png | 2022-February-19 02:01 | 166.74 KiB |
| 单agent.png | 2022-February-19 02:01 | 131.16 KiB |
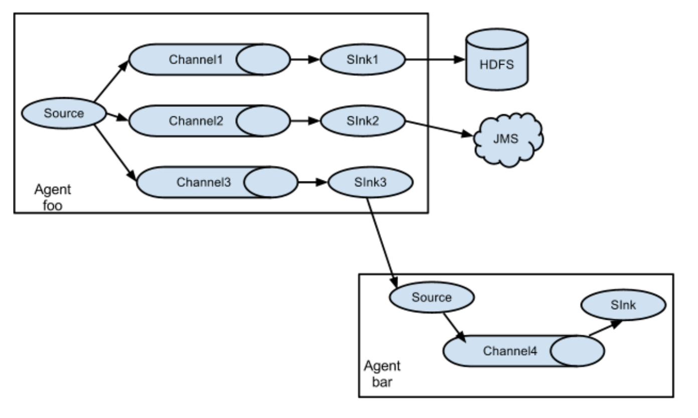
| 单agent多sink.png | 2022-February-19 02:01 | 251.27 KiB |
| 单层感知机.png | 2022-February-19 02:01 | 122.71 KiB |
| 历史日志信息导入.png | 2022-February-19 02:01 | 134.03 KiB |
| 历史记录.png | 2022-February-19 02:01 | 108.66 KiB |
| 原始ALS数据.png | 2022-February-19 02:01 | 153.9 KiB |
| 原始日志数据.png | 2022-February-19 02:01 | 297.82 KiB |
| 召回模块.png | 2022-February-19 02:01 | 89.3 KiB |
| 召回读取服务.png | 2022-February-19 02:01 | 42.38 KiB |
| 合并用户文章.png | 2022-February-19 02:01 | 204.9 KiB |
| 固定值张量.png | 2022-February-19 02:01 | 112.16 KiB |
| 在线目录.png | 2022-February-19 02:01 | 14.41 KiB |
| 埋点流程.png | 2022-February-19 02:01 | 93.08 KiB |
| 基础用户画像.png | 2022-February-19 02:01 | 64.18 KiB |
| 处理类型个数.png | 2022-February-19 02:01 | 762.17 KiB |
| 复杂两类数据分类.png | 2022-February-19 02:01 | 116.7 KiB |
| 复杂两类数据分类1.png | 2022-February-19 02:01 | 98.68 KiB |
| 复杂数据1.png | 2022-February-19 02:01 | 185.29 KiB |
| 复杂数据2.png | 2022-February-19 02:01 | 253.24 KiB |
| 多agent.png | 2022-February-19 02:01 | 256.04 KiB |
| 完整工程目录.png | 2022-February-19 02:01 | 63.75 KiB |
| 实时排序逻辑.png | 2022-February-19 02:01 | 104.47 KiB |
| 实时计算图.png | 2022-February-19 02:01 | 489.69 KiB |
| 年份分桶.png | 2022-February-19 02:01 | 188.44 KiB |
| 感知机.png | 2022-February-19 02:01 | 51.02 KiB |
| 感知机公式.png | 2022-February-19 02:01 | 44.02 KiB |
| 投影公式.png | 2022-February-19 02:01 | 9.38 KiB |
| 损失函数图.png | 2022-February-19 02:01 | 129.98 KiB |
| 排序服务.png | 2022-February-19 02:01 | 41.12 KiB |
| 排序模块.png | 2022-February-19 02:01 | 113.45 KiB |
| 排序逻辑.png | 2022-February-19 02:01 | 300.65 KiB |
| 推荐架构.png | 2022-February-19 02:01 | 417.73 KiB |
| 推荐目录.png | 2022-February-19 02:01 | 75.45 KiB |
| 推荐算法总结.png | 2022-February-19 02:01 | 476.68 KiB |
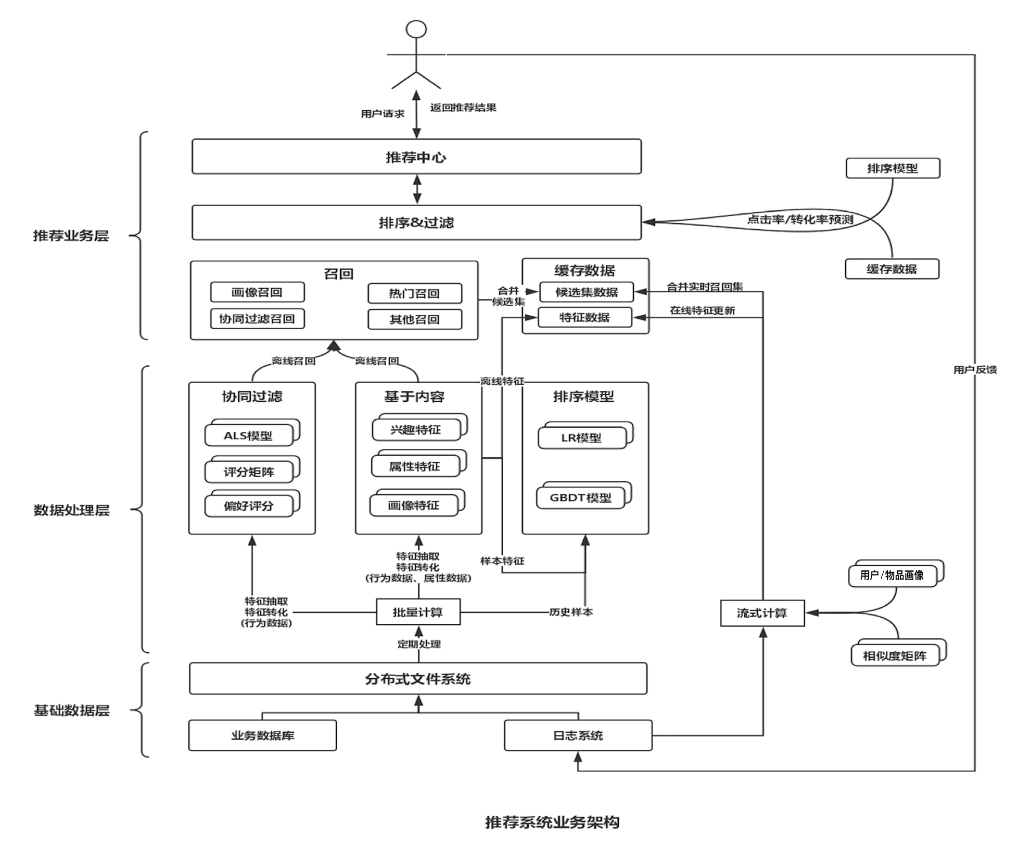
| 推荐系统业务架构.png | 2022-February-19 02:01 | 336.36 KiB |
| 推荐系统后台.png | 2022-February-19 02:01 | 222.82 KiB |
| 推荐结果.png | 2022-February-19 02:01 | 118.11 KiB |
| 数据流图.png | 2022-February-19 02:01 | 168.19 KiB |
| 数据量.png | 2022-February-19 02:01 | 78.46 KiB |
| 文章权重向量.png | 2022-February-19 02:01 | 157.08 KiB |
| 无向图分数计算.png | 2022-February-19 02:01 | 318.33 KiB |
| 更新环境设置.png | 2022-February-19 02:01 | 214.63 KiB |
| 框架关注.png | 2022-February-19 02:01 | 139.47 KiB |
| 梯度下降理解.png | 2022-February-19 02:01 | 59.21 KiB |
| 模型存放目录.png | 2022-February-19 02:01 | 132.09 KiB |
| 流式计算.png | 2022-February-19 02:01 | 232.39 KiB |
| 流式计算与批量计算的对比.png | 2022-February-19 02:01 | 282.66 KiB |
| 流量切分.png | 2022-February-19 02:01 | 69.79 KiB |
| 测试样本构造.png | 2022-February-19 02:01 | 312.04 KiB |
| 添加步骤.png | 2022-February-19 02:01 | 121.23 KiB |
| 特征处理feature_column.png | 2022-February-19 02:01 | 726.88 KiB |
| 特征处理原则.png | 2022-February-19 02:01 | 96.62 KiB |
| 用户主题词爆炸.png | 2022-February-19 02:01 | 235.07 KiB |
| 用户关联结果2.png | 2022-February-19 02:01 | 163.81 KiB |
| 用户原始数据.png | 2022-February-19 02:01 | 99.08 KiB |
| 用户数据分类.png | 2022-February-19 02:01 | 236.95 KiB |
| 用户文章不唯一.png | 2022-February-19 02:01 | 346.73 KiB |
| 用户画像流程作用.png | 2022-February-19 02:01 | 70.45 KiB |
| 画像业务.png | 2022-February-19 02:01 | 114.78 KiB |
| 目录结构1.png | 2022-February-19 02:01 | 19.66 KiB |
| 直线方程.png | 2022-February-19 02:01 | 28.66 KiB |
| 矩阵分解.png | 2022-February-19 02:01 | 145.87 KiB |
| 神经元.png | 2022-February-19 02:01 | 253.55 KiB |
| 神经网络如何分类.png | 2022-February-19 02:01 | 129.39 KiB |
| 离线在线计算.png | 2022-February-19 02:01 | 118.88 KiB |
| 离线样本构造.png | 2022-February-19 02:01 | 264.74 KiB |
| 类别词汇表.png | 2022-February-19 02:01 | 355.39 KiB |
| 类型.png | 2022-February-19 02:01 | 110.65 KiB |
| 类型变换.png | 2022-February-19 02:01 | 70.2 KiB |
| 网站流量计算.png | 2022-February-19 02:01 | 230.54 KiB |
| 网络优化动态图.gif | 2022-February-19 02:01 | 6.91 MiB |
| 网络结构.png | 2022-February-19 02:01 | 116.32 KiB |
| 网页pagerank.png | 2022-February-19 02:01 | 584.38 KiB |
| 表截图.png | 2022-February-19 02:01 | 108.87 KiB |
| 计算关键词中间结果.png | 2022-February-19 02:01 | 123.83 KiB |
| 训练样本前期特征.png | 2022-February-19 02:01 | 274.03 KiB |
| 训练样本特征处理2.png | 2022-February-19 02:01 | 318.04 KiB |
| 训练样本特征处理4.png | 2022-February-19 02:01 | 342.8 KiB |
| 训练样本特正处理3.png | 2022-February-19 02:01 | 381.87 KiB |
| 识别输出概率.png | 2022-February-19 02:01 | 170.48 KiB |
| 词向量公式.png | 2022-February-19 02:01 | 47.85 KiB |
| 词向量可视化效果.png | 2022-February-19 02:01 | 224.9 KiB |
| 词向量解释1.png | 2022-February-19 02:01 | 183.2 KiB |
| 词的无向图.png | 2022-February-19 02:01 | 334.17 KiB |
| 运行的APP.png | 2022-February-19 02:01 | 365.62 KiB |
| 阶.png | 2022-February-19 02:01 | 46.85 KiB |
| 随机值张量.png | 2022-February-19 02:01 | 129.88 KiB |
| 随机投影方式.png | 2022-February-19 02:01 | 733.07 KiB |
| 鸢尾花.png | 2022-February-19 02:01 | 3.57 MiB |
| 鸢尾花网络模型.png | 2022-February-19 02:01 | 222.1 KiB |
| 黑马头条宣传.png | 2022-February-19 02:01 | 779.49 KiB |
| 黑马头条推荐架构图.png | 2022-February-19 02:01 | 168.89 KiB |
| 黑马头条推荐流程图.png | 2022-February-19 02:01 | 219.9 KiB |