2.7 Word2Vec与文章相似度
学习目标
- 目标
- 知道文章向量计算方式
- 了解Word2Vec模型原理
- 知道文章相似度计算方式
- 应用
- 应用Spark完成文章相似度计算
2.7.1 文章相似度
在我们的黑马头条推荐中有很多地方需要推荐相似文章,包括首页频道可以推荐相似的文章,详情页猜你喜欢
需求
- 首页频道推荐:每个频道推荐的时候,会通过计算两两文章相似度,快速达到在线推荐的效果,比如用户点击文章,我们可以将离线计算好相似度的文章排序快速推荐给该用户。此方式也就可以解决冷启动的问题
- 方式:
- 1、计算两两文章TFIDF之间的相似度
- 2、计算两两文章的word2vec词向量相似度
- 大量数据量的时候,加上使用LSH--(大数据量考虑)
词嵌入(word embeddings)已经在自然语言处理领域广泛使用我们采用第二种方式,实践中word2vec在大量数据下达到的效果更好。
2.7.2 什么是word2vec
2.7.2.1 为什么介绍Word2Vec
图像和音频处理系统采用的是庞大的高维度数据集,对于图像数据来说,此类数据集会编码为单个原始像素强度的向量。不过,自然语言处理系统一直以来都将字词视为离散的原子符号,将字词表示为唯一的离散ID还会导致数据稀疏性,并且通常意味着我们可能需要更多数据才能成功训练统计模型。使用向量表示法可以扫除其中一些障碍。
2.7.2.2 词的分布式表示( distributed representation)
定义:将文字通过一串数字向量表示
- 词的独热表示:One-hot Representation
NLP 中最直观,也是到目前为止最常用的词表示方法是 One-hot Representation,这种方法把每个词表示为一个很长的向量。这个向量的维度是词表大小,其中绝大多数元素为 0,只有一个维度的值为 1,这个维度就代表了当前的词。比如:
“灯泡”表示为 [0 0 0 1 0 0 0 0 0 0 0 0 0 0 0 0 ...]
“灯管”表示为 [0 0 0 0 0 0 0 0 1 0 0 0 0 0 0 0 ...]
每个词都是茫茫 0 海中的一个 1。这种 One-hot Representation 如果采用稀疏方式存储,会是非常的简洁:也就是给每个词分配一个数字 ID。
特点:
- 采用稀疏方式 存储,简单易实现
- 1、向量的维度会随着句子的词的数量类型增大而增大;
- 2、任意两个词之间都是孤立的,根本无法表示出在语义层面上词语词之间的相关信息,而这一点是致命的。
词的分布式表示:Distributed representation
传统的独热表示( one-hot representation)仅仅将词符号化,不包含任何语义信息。如何将语义融入到词表示中?Harris 在 1954 年提出的分布假说( distributional hypothesis)为这一设想提供了理论基础:上下文相似的词,其语义也相似。
- Distributed representation 最早由 Hinton在 1986 年提出。它是一种低维实数向量,这种向量一般长成这个样子: [0.792, −0.177, −0.107, 0.109, −0.542, …]
- 最大的贡献就是让相关或者相似的词,在距离上更接近了
2.7.2.3 词的分布式方式
- 基于矩阵的分布表示
基于神经网络的分布表示,名称可以叫做词向量、词嵌入( word embedding)或分布式表示( distributed representation)
- 实现方式:神经网络模型,如CBOW、Skip-gram
- 实现工具:word2vec
- 那么word2vec就是一种实现词向量的一个工具/方式,分布式词向量并不是word2vec的作者发明的,只是提出了一种更快更好的方式来训练语言模型。
一般说的word2vec词向量,指的是用word2vec训练出来的词向量
2.7.2.4 word2vec原理
该部分将在后面讲完神经网络(深度学习)只介绍word2vec实现词向量的应用场景
- 计算相似度:寻找相似词、或者用于文章之间的相似度
- 文本生成、机器翻译等
实现相似度计算分解为一下几个步骤:
- 1、训练文章词向量模型
- 2、利用模型得到文章的平均词向量,存储到article_vector中
- 3、使用相似度计算工具进行文章之间的相似度计算
2.7.3 文章词向量训练
- 目的:通过大量历史文章数据,训练词的词向量
由于文章数据过多,在开始设计的时候我们会分频道进行词向量训练,每个频道一个词向量模型。
- 步骤:
- 1、根据频道内容,读取不同频道号,获取相应频道数据并进行分词
- 3、Spark Word2Vec训练保存模型
根据频道内容,读取不同频道号,获取相应频道数据
在setting目录汇总创建一个default.py文件,保存默认一些配置,如频道
channelInfo = {
1: "html",
2: "开发者资讯",
3: "ios",
4: "c++",
5: "android",
6: "css",
7: "数据库",
8: "区块链",
9: "go",
10: "产品",
11: "后端",
12: "linux",
13: "人工智能",
14: "php",
15: "javascript",
16: "架构",
17: "前端",
18: "python",
19: "java",
20: "算法",
21: "面试",
22: "科技动态",
23: "js",
24: "设计",
25: "数码产品",
}
创建word2vec.ipynb文件,用来训练模型:
import os
import sys
# 如果当前代码文件运行测试需要加入修改路径,避免出现后导包问题
BASE_DIR = os.path.dirname(os.path.dirname(os.getcwd()))
sys.path.insert(0, os.path.join(BASE_DIR))
PYSPARK_PYTHON = "/miniconda2/envs/reco_sys/bin/python"
# 当存在多个版本时,不指定很可能会导致出错
os.environ["PYSPARK_PYTHON"] = PYSPARK_PYTHON
os.environ["PYSPARK_DRIVER_PYTHON"] = PYSPARK_PYTHON
from offline import SparkSessionBase
from setting.default import channelInfo
from pyspark.ml.feature import Word2Vec
class TrainWord2VecModel(SparkSessionBase):
SPARK_APP_NAME = "Word2Vec"
SPARK_URL = "yarn"
ENABLE_HIVE_SUPPORT = True
def __init__(self):
self.spark = self._create_spark_session()
w2v = TrainWord2VecModel()
获取数据并分词处理,注意分词函数导入(这里只选取了18号频道部分数据进行测试)
# 这里训练一个频道模型演示即可
w2v.spark.sql("use article")
article = w2v.spark.sql("select * from article_data where channel_id=18 limit 2")
words_df = article.rdd.mapPartitions(segmentation).toDF(['article_id', 'channel_id', 'words'])
Spark Word2Vec训练保存模型
- 模块:from pyspark.ml.feature import Word2Vec
- API:class pyspark.ml.feature.Word2Vec(vectorSize=100, minCount=5, numPartitions=1, stepSize=0.025, maxIter=1, seed=None, inputCol=None, outputCol=None, windowSize=5, maxSentenceLength=1000)
- vectorSize=100: 词向量长度
- minCount:过滤次数小于默认5次的词
- windowSize=5:训练时候的窗口大小
- inputCol=None:输入列名
- outputCol=None:输出列名
new_word2Vec = Word2Vec(vectorSize=100, inputCol="words", outputCol="model", minCount=3)
new_model = new_word2Vec.fit(words_df)
new_model.save("hdfs://hadoop-master:9000/headlines/models/test.word2vec")
上传历史数据训练的模型
在本地准备了训练一段时间每个频道的模型
hadoop dfs -put ./word2vec_model /headlines/models/

2.7.4 增量更新-文章向量计算
有了词向量之后,我们就可以得到一篇文章的向量了,为了后面快速使用文章的向量,我们会将每个频道所有的文章向量保存起来。
- 目的:保存所有历史训练的文章向量
- 步骤:
- 1、加载某个频道模型,得到每个词的向量
- 2、获取频道的文章画像,得到文章画像的关键词(接着之前增量更新的文章article_profile)
- 3、合并计算得到文章每个词的向量,计算平均词向量值即文章的向量
加载某个频道模型,得到每个词的向量
from pyspark.ml.feature import Word2VecModel
channel_id = 18
channel = "python"
wv_model = Word2VecModel.load(
"hdfs://hadoop-master:9000/headlines/models/word2vec_model/channel_%d_%s.word2vec" % (channel_id, channel))
vectors = wv_model.getVectors()
获取新增的文章画像,得到文章画像的关键词
可以选取小部分数据来进行测试
# 选出新增的文章的画像做测试,上节计算的画像中有不同频道的,我们选取Python频道的进行计算测试
# 新增的文章画像获取部分
profile = w2v.spark.sql("select * from article_profile where channel_id=18 limit 10")
# profile = articleProfile.filter('channel_id = {}'.format(channel_id))
profile.registerTempTable("incremental")
articleKeywordsWeights = w2v.spark.sql(
"select article_id, channel_id, keyword, weight from incremental LATERAL VIEW explode(keywords) AS keyword, weight")
_article_profile = articleKeywordsWeights.join(vectors, vectors.word==articleKeywordsWeights.keyword, "inner")
计算得到文章每个词的向量
- 这里用加入词的权重 * 词的向量 = weights x vector=new_vector,得到一个词的向量(包含了word2vec以及weights的结果)
articleKeywordVectors = _article_profile.rdd.map(lambda row: (row.article_id, row.channel_id, row.keyword, row.weight * row.vector)).toDF(["article_id", "channel_id", "keyword", "weightingVector"])
计算得到文章的平均词向量即文章的向量
def avg(row):
x = 0
for v in row.vectors:
x += v
# 将平均向量作为article的向量
return row.article_id, row.channel_id, x / len(row.vectors)
articleKeywordVectors.registerTempTable("tempTable")
articleVector = w2v.spark.sql(
"select article_id, min(channel_id) channel_id, collect_set(weightingVector) vectors from tempTable group by article_id").rdd.map(
avg).toDF(["article_id", "channel_id", "articleVector"])
对计算出的”articleVector“列进行处理,该列为Vector类型,不能直接存入HIVE,HIVE不支持该数据类型
def toArray(row):
return row.article_id, row.channel_id, [float(i) for i in row.articleVector.toArray()]
articleVector = articleVector.rdd.map(toArray).toDF(['article_id', 'channel_id', 'articleVector'])
最终计算出这个18号Python频道的所有文章向量,保存到固定的表当中
- 创建文章向量表
CREATE TABLE article_vector(
article_id INT comment "article_id",
channel_id INT comment "channel_id",
articlevector ARRAY comment "keyword");
保存数据到HIVE
# articleVector.write.insertInto("article_vector")
上传计算好的历史文章向量
hadoop dfs -put ./article_vector /user/hive/warehouse/article.db/
2.7.5 文章相似度计算
目的:计算每个频道两两文章的相似度,并保存
分析问题:
- 1、是否需要某频道计算所有文章两两相似度?
- 2、相似度结果数值如何保存?
2.7.4.1 问题1
我们在推荐相似文章的时候,其实并不会用到所有文章,也就是TOPK个相似文章会被推荐出去,经过排序之后的结果。如果我们的设备资源、时间也真充足的话,可以进行某频道全量所有的两两相似度计算。但是事实当文章量达到千万级别或者上亿级别,特征也会上亿级别,计算量就会很大。一下有两种类型解决方案
1 每个频道的文章先进行聚类
可以对每个频道内N个文章聚成M类别,那么类别数越多每个类别的文章数量越少。如下pyspark代码
bkmeans = BisectingKMeans(k=100, minDivisibleClusterSize=50, featuresCol="articleVector", predictionCol='group')
bkmeans_model = bkmeans.fit(articleVector)
bkmeans_model.save(
"hdfs://hadoop-master:9000/headlines/models/articleBisKmeans/channel_%d_%s.bkmeans" % (channel_id, channel))
但是对于每个频道聚成多少类别这个M是超参数,并且聚类算法的时间复杂度并不小,当然可以使用一些优化的聚类算法二分、层次聚类。
2 局部敏感哈希LSH(Locality Sensitive Hashing)
背景:
从海量数据库中寻找到与查询数据相似的数据是一个很关键的问题。比如在图片检索领域,需要找到与查询图像相似的图,文本搜索领域都会遇到。如果是低维的小数据集,我们通过线性查找(Linear Search)就可以容易解决,但如果是对一个海量的高维数据集采用线性查找匹配的话,会非常耗时,因此,为了解决该问题,我们需要采用一些类似索引的技术来加快查找过程,通常这类技术称为最近邻查找(Nearest Neighbor,AN),例如K-d tree;或近似最近邻查找(Approximate Nearest Neighbor, ANN),例如K-d tree with BBF, Randomized Kd-trees, Hierarchical K-means Tree。而LSH是ANN中的一类方法。
思路:
- 如果能有一种算法,能将相似的字符串,从高维空间降维到一个相对低维的空间中。同时,在这个低维空间中,语法/语义相近的字符串的夹角余弦相对较小,也即语法/语义相近的字符串在降维后彼此较为接近。
说到Hash,大家都很熟悉,是一种典型的Key-Value结构,最常见的算法莫过于MD5。其设计思想是使Key集合中的任意关键字能够尽可能均匀的变换到Value空间中,不同的Key对应不同的Value,即使Key值只有轻微变化,Value值也会发生很大地变化。这样特性可以作为文件的唯一标识,在做下载校验时我们就使用了这个特性。
但是有没有这样一种Hash呢?他能够使相似Key值计算出的Value值相同或在某种度量下相近呢?甚至得到的Value值能够保留原始文件的信息,这样相同或相近的文件能够以Hash的方式被快速检索出来,或用作快速的相似性比对。局部敏感哈希(Locality Sensitive Hashing,LSH)正好满足了这种需求,在大规模数据处理中应用非常广泛,例如已下场景
- 近似检测(Near-duplicate detection):通常运用在网页去重方面。在搜索中往往会遇到内容相似的重复页面,它们中大多是由于网站之间转载造成的。可以对页面计算LSH,通过查找相等或相近的LSH值找到Near-duplicate。
- 图像、音频检索:通常图像、音频文件都比较大,并且比较起来相对麻烦,我们可以事先对其计算LSH,用作信息指纹,这样可以给定一个文件的LSH值,快速找到与其相等或相近的图像和文件。
- 聚类:将LSH值作为样本特征,将相同或相近的LSH值的样本合并在一起作为一个类别。
什么是局部敏感哈希(Locality Sensitive Hashing,LSH)
经常使用的哈希函数,冲突总是难以避免。LSH却依赖于冲突,在解决NNS(Nearest neighbor search )时,我们期望:

左图是传统Hash算法,右图是LSH。红色点和绿色点距离相近,橙色点和蓝色点距离相近。
- 传统Hash算法,得到的value值完全不一样
| 绿色点 1 0 0 0 0 0 0 0 | 红色点 0 0 0 0 1 0 0 0 |
|---|---|
| 橙色点 0 1 0 0 0 0 0 0 | 蓝色点 0 0 0 0 0 0 0 1 |
- LSH算法,红色点和绿色点的value值相等,橙色点和蓝色点的value值相近。
| 绿色点 0 0 1 0 0 0 0 0 | 红色点 0 0 0 0 0 1 0 0 |
|---|---|
| 橙色点 0 0 1 0 0 0 0 0 | 蓝色点 0 0 0 0 0 0 1 0 |
总结:离得越近的对象,发生冲突的概率越高;离得越远的对象,发生冲突的概率越低
维基百科对LSH的解释:LSH有几种不同的定义形式,那么其中定义最简单的一种形式叫:
- 定义:对于两个物体u,v(可以理解为两个文件、两个向量等),LSH生成的value值的每一bit位相等的概率等于这两个物体的相似度
表示成数学形式:
如果d(u,v)相似度小,那么冲突概率Pr[h(u)=h(v)] ≥ p1
如果d(u,v)相似度大,那么冲突概率Pr[h(u)=h(v)] ≥ p2
LSH(局部敏感哈希)的实现
1、MinHash
2、基于随机投影的方式
- 基于Stable Distribution的投影
1、MinHash原理
MinHash首先它是一种基于 Jaccard Index相似度的算法,也是一种LSH的降维的方法,应用于大数据集的相似度检索、推荐系统。
- minHash的值相等的概率等于Jaccard相似度
- 原理过程:
假设我们有如下四个文档D1,D2,D3,D4D1,D2,D3,D4的集合情况,每个文档有相应的词项,用{w1,w2,..w7}{w1,w2,..w7}表示。若某个文档存在这个词项,则标为1,否则标为0。

过程
1、Minhash的定义为:特征矩阵按行进行一个随机的排列后,第一个列值为1的行的行号。

- 重复上述操作
- 矩阵按行进行多次置换,每次置换之后统计每一列(对应的是每个文档)第一个不为0位置的行号,这样每次统计的结果能构成一个与文档数等大的向量,我们称之为签名向量。
- (如果两个文档足够相似,也就是说这两个文档中有很多元素是共有的,这样置换出来的签名向量,如果原来其中有一些文档的相似度很高,那么这些文档所对应的签名向量的相应的元素值相同的概率也很高。)
初始时的矩阵叫做input matrix,由m个文档m,n个词项组成.而把由t次置换后得到的一个t×m矩阵叫做signature matrix。
| D1 | D2 | D3 | D4 | |
|---|---|---|---|---|
| 第一次 | 1 | 2 | 1 | 2 |
| 第二次 | 1 | 1 | 2 | 1 |
| ... | ... | ... | ... | .. |
| 第S行 | ... | ... | ... | ... |
2、对S行Signature每行分割成若干brand(一个brand若干行)
每个band计算hash值(hash函数可以md5,sha1任意),我们需要将这些hash值做处理,使之成为事先设定好的hash桶的tag,然后把这些band“扔”进hash桶中。

最终:两个文档一共存在b个band,这b个band都不相同的概率是,1−(1−s^r)^b(r和b影响对应的概率)
- 概率1−(1−s^r)^b就是最终两个文档被映射到同一个hash bucket中的概率。我们发现,这样一来,实际上可以通过控制参数r,b值来控制两个文档被映射到同一个哈希桶的概率。而且效果非常好。
比如,令b=20,r=5,s∈[0,1]是这两个文档的相似度,等于给的文当前提条件下:
- 假设原始两个文档相似,如当s=0.8时,两个文档被映射到同一个哈希桶的概率是
- Pr(LSH(O1)=LSH(O2))=1−(1−0.85)5=0.9996439421094793
- 假设原始两个文档不相似,如当s=0.2时,两个文档被映射到同一个哈希桶的概率是:
- Pr(LSH(O1)=LSH(O2))=1−(1−0.25)5=0.0063805813047682
参数环境下的概率图:

- 总结:
- 相似度高于某个值的时候,到同一个桶概率会变得非常大,并且快速靠近1
- 当相似度低于某个值的时候,概率会变得非常小,并且快速靠近0
2、基于随机投影的方式(了解)
其思想在于高维空间中相近的物体,投影(降维)后也相近。我们看下图,三围空间中的四个点,红色圆形在三围空间中相近,绿色方块在三围空间中相距较远,那么投影后还是红色圆形相距较近,绿色方块相距较远.

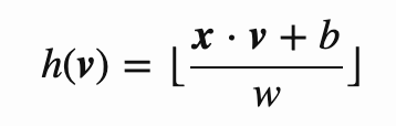
基于Stable Distribution的投影LSH,就是产生满足Stable Distribution的分布进行投影,最后将量化后的投影值作为value输出,具体数学表示形式如下: 给定特征向量vv,Hash的每一bit的生成公式为:

- x是一个随机数,x⋅v就是投影;w值可以控制量化误差;b是随机扰动
其LSH family将x特征向量映射到随机单位矢量v,并将映射结果分为哈希桶中。哈希表中的每个位置表示一个哈希桶。
解释:还是上面的图形,
- 假设红色圆形在x方向上的投影是5和6,绿色方块在x方向上的投影值是1和8(发生了x⋅v操作)。这时,如果我们取b=0,w=2.5,那么红色圆形就Hash在一起(Hash值为2),绿色方块Hash在了不同的位置上(哈希值为0和3),满足了相似物体Hash到一起,不相似的物体Hash不在一起的需求。
- 但如果我们取w=3呢?这时绿色方块虽然没有Hash到在一起(Hash值为0和2),但红色圆形也没有hash到一起(Hash值为1和2)。怎么办呢?我们就可以通过b进行调节。为了防止这种情况一直发生,我们可以随机取b=1以增加扰动,这时红色圆形的Hash值就都为2了,而绿色方块的Hash值还是为0和2。
具体推导原理参考:http://www.slaney.org/malcolm/yahoo/Slaney2008-LSHTutorial.pdf
2.7.4.2 相似度计算
- 目的:计算18号Python频道的文章之间相似度
- 步骤:
- 1、读取数据,进行类型处理(数组到Vector)
- 2、BRP进行FIT得到距离
读取数据,进行类型处理(数组到Vector)
from pyspark.ml.linalg import Vectors
# 选取部分数据做测试
article_vector = w2v.spark.sql("select article_id, articlevector from article_vector where channel_id=18 limit 10")
train = articlevector.select(['article_id', 'articleVector'])
def _array_to_vector(row):
return row.article_id, Vectors.dense(row.articleVector)
train = train.rdd.map(_array_to_vector).toDF(['article_id', 'articleVector'])
BRP进行FIT
- class pyspark.ml.feature.BucketedRandomProjectionLSH(inputCol=None, outputCol=None, seed=None, numHashTables=1, bucketLength=None)
- inputCol=None:输入特征列
- outputCol=None:输出特征列
- numHashTables=4:哈希表数量,几个hash function对数据进行hash操作
- bucketLength=None:桶的数量,值越大相同数据进入到同一个桶的概率越高
- method:
- approxSimilarityJoin(df1, df2, 2.0, distCol='EuclideanDistance')
- 计算df1每个文章相似的df2数据集的数据

from pyspark.ml.feature import BucketedRandomProjectionLSH
# 默认4,10,官方推荐使用大小
brp = BucketedRandomProjectionLSH(inputCol='articleVector', outputCol='hashes', numHashTables=4.0, bucketLength=10.0)
model = brp.fit(train)
计算相似的文章以及相似度
similar = model.approxSimilarityJoin(test, train, 2.0, distCol='EuclideanDistance')
similar.sort(['EuclideanDistance']).show()
2.7.4.3 问题3
对于计算出来的相似度,是要在推荐的时候使用。那么我们所知的是,HIVE只适合在离线分析时候使用,因为运行速度慢,所以只能将相似度存储到HBASE当中
- hbase
2.7.5 文章相似度存储
目的:将所有文章对应相似度文章及其相似度保存
步骤:
- 调用foreachPartition
- foreachPartition不同于map和mapPartition,主要用于离线分析之后的数据落地,如果想要返回新的一个数据DF,就使用map后者。
- 调用foreachPartition
我们需要建立一个HBase存储文章相似度的表
create 'article_similar', 'similar'
# 存储格式如下:key:为article_id, 'similar:article_id', 结果为相似度
put 'article_similar', '1', 'similar:1', 0.2
put 'article_similar', '1', 'similar:2', 0.34
put 'article_similar', '1', 'similar:3', 0.267
put 'article_similar', '1', 'similar:4', 0.56
put 'article_similar', '1', 'similar:5', 0.7
put 'article_similar', '1', 'similar:6', 0.819
put 'article_similar', '1', 'similar:8', 0.28
定义保存HBASE函数,确保我们的happybase连接hbase启动成功,Thrift服务打开。hbase集群出现退出等问题常见原因,配置文件hadoop目录,地址等,还有
- ntpdate 0.cn.pool.ntp.org或者ntpdate ntp1.aliyun.com
- hbase-daemon.sh start thrift
def save_hbase(partition):
import happybase
pool = happybase.ConnectionPool(size=3, host='hadoop-master')
with pool.connection() as conn:
# 建议表的连接
table = conn.table('article_similar')
for row in partition:
if row.datasetA.article_id == row.datasetB.article_id:
pass
else:
table.put(str(row.datasetA.article_id).encode(),
{"similar:{}".format(row.datasetB.article_id).encode(): b'%0.4f' % (row.EuclideanDistance)})
# 手动关闭所有的连接
conn.close()
similar.foreachPartition(save_hbase)