6.5 算法优化
k-means算法小结
优点:
1.原理简单(靠近中心点),实现容易
2.聚类效果中上(依赖K的选择)
3.空间复杂度o(N),时间复杂度o(IKN)
N为样本点个数,K为中心点个数,I为迭代次数
缺点:
1.对离群点,噪声敏感 (中心点易偏移)
2.很难发现大小差别很大的簇及进行增量计算
3.结果不一定是全局最优,只能保证局部最优(与K的个数及初值选取有关)
1 Canopy算法配合初始聚类
1.1 Canopy算法配合初始聚类实现流程

1.2 Canopy算法的优缺点
优点:
1.Kmeans对噪声抗干扰较弱,通过Canopy对比,将较小的NumPoint的Cluster直接去掉有利于抗干扰。
2.Canopy选择出来的每个Canopy的centerPoint作为K会更精确。
3.只是针对每个Canopy的内做Kmeans聚类,减少相似计算的数量。
缺点:
1.算法中 T1、T2的确定问题 ,依旧可能落入局部最优解
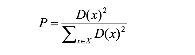
2 K-means++




kmeans++目的,让选择的质心尽可能的分散
如下图中,如果第一个质心选择在圆心,那么最优可能选择到的下一个点在P(A)这个区域(根据颜色进行划分)

3 二分k-means
实现流程:
1.所有点作为一个簇
2.将该簇一分为二
3.选择能最大限度降低聚类代价函数(也就是误差平方和)的簇划分为两个簇。
4.以此进行下去,直到簇的数目等于用户给定的数目k为止。

隐含的一个原则
因为聚类的误差平方和能够衡量聚类性能,该值越小表示数据点越接近于他们的质心,聚类效果就越好。所以需要对误差平方和最大的簇进行再一次划分,因为误差平方和越大,表示该簇聚类效果越不好,越有可能是多个簇被当成了一个簇,所以我们首先需要对这个簇进行划分。
二分K均值算法可以加速K-means算法的执行速度,因为它的相似度计算少了并且不受初始化问题的影响,因为这里不存在随机点的选取,且每一步都保证了误差最小
4 k-medoids(k-中心聚类算法)
K-medoids和K-means是有区别的,不一样的地方在于中心点的选取
K-means中,将中心点取为当前cluster中所有数据点的平均值,对异常点很敏感!
K-medoids中,将从当前cluster 中选取到其他所有(当前cluster中的)点的距离之和最小的点作为中心点。

算法流程:
( 1 )总体n个样本点中任意选取k个点作为medoids
( 2 )按照与medoids最近的原则,将剩余的n-k个点分配到当前最佳的medoids代表的类中
( 3 )对于第i个类中除对应medoids点外的所有其他点,按顺序计算当其为新的medoids时,代价函数的值,遍历所有可能,选取代价函数最小时对应的点作为新的medoids
( 4 )重复2-3的过程,直到所有的medoids点不再发生变化或已达到设定的最大迭代次数
( 5 )产出最终确定的k个类
k-medoids对噪声鲁棒性好。
例:当一个cluster样本点只有少数几个,如(1,1)(1,2)(2,1)(1000,1000)。其中(1000,1000)是噪声。如果按照k-means质心大致会处在(1,1)(1000,1000)中间,这显然不是我们想要的。这时k-medoids就可以避免这种情况,他会在(1,1)(1,2)(2,1)(1000,1000)中选出一个样本点使cluster的绝对误差最小,计算可知一定会在前三个点中选取。
k-medoids只能对小样本起作用,样本大,速度就太慢了,当样本多的时候,少数几个噪音对k-means的质心影响也没有想象中的那么重,所以k-means的应用明显比k-medoids多。
5 Kernel k-means(了解)
kernel k-means实际上,就是将每个样本进行一个投射到高维空间的处理,然后再将处理后的数据使用普通的k-means算法思想进行聚类。

6 ISODATA(了解)
类别数目随着聚类过程而变化;
对类别数会进行合并,分裂,
“合并”:(当聚类结果某一类中样本数太少,或两个类间的距离太近时)
“分裂”(当聚类结果中某一类的类内方差太大,将该类进行分裂)
7 Mini Batch K-Means(了解)
适合大数据的聚类算法
大数据量是什么量级?通常当样本量大于1万做聚类时,就需要考虑选用Mini Batch K-Means算法。
Mini Batch KMeans使用了Mini Batch(分批处理)的方法对数据点之间的距离进行计算。
Mini Batch计算过程中不必使用所有的数据样本,而是从不同类别的样本中抽取一部分样本来代表各自类型进行计算。由于计算样本量少,所以会相应的减少运行时间,但另一方面抽样也必然会带来准确度的下降。
该算法的迭代步骤有两步:
(1)从数据集中随机抽取一些数据形成小批量,把他们分配给最近的质心
(2)更新质心
与Kmeans相比,数据的更新在每一个小的样本集上。对于每一个小批量,通过计算平均值得到更新质心,并把小批量里的数据分配给该质心,随着迭代次数的增加,这些质心的变化是逐渐减小的,直到质心稳定或者达到指定的迭代次数,停止计算。
8 总结
| 优化方法 | 思路 |
|---|---|
| Canopy+kmeans | Canopy粗聚类配合kmeans |
| kmeans++ | 距离越远越容易成为新的质心 |
| 二分k-means | 拆除SSE最大的簇 |
| k-medoids | 和kmeans选取中心点的方式不同 |
| kernel kmeans | 映射到高维空间 |
| ISODATA | 动态聚类 |
| Mini-batch K-Means | 大数据集分批聚类 |