2.9 正则化线性模型
- Ridge Regression 岭回归
- Lasso 回归
- Elastic Net 弹性网络
- Early stopping
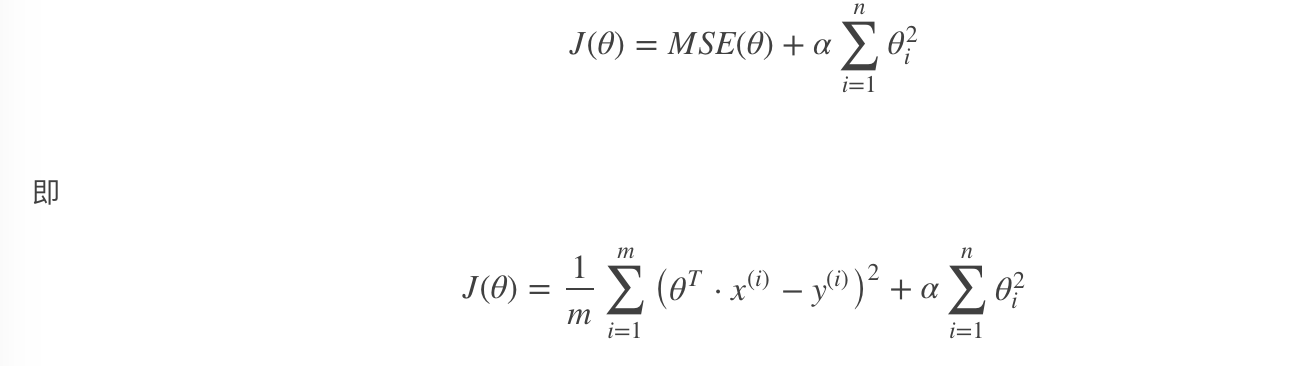
1 Ridge Regression (岭回归,又名 Tikhonov regularization)
岭回归是线性回归的正则化版本,即在原来的线性回归的 cost function 中添加正则项(regularization term): 
以达到在拟合数据的同时,使模型权重尽可能小的目的,岭回归代价函数:

- α=0:岭回归退化为线性回归
2 Lasso Regression(Lasso 回归)
Lasso 回归是线性回归的另一种正则化版本,正则项为权值向量的ℓ1范数。
Lasso回归的代价函数 :

【注意 】
- Lasso Regression 的代价函数在 θi=0处是不可导的.
- 解决方法:在θi=0处用一个次梯度向量(subgradient vector)代替梯度,如下式
- Lasso Regression 的次梯度向量

Lasso Regression 有一个很重要的性质是:倾向于完全消除不重要的权重。
例如:当α 取值相对较大时,高阶多项式退化为二次甚至是线性:高阶多项式特征的权重被置为0。
也就是说,Lasso Regression 能够自动进行特征选择,并输出一个稀疏模型(只有少数特征的权重是非零的)。
3 Elastic Net (弹性网络)
弹性网络在岭回归和Lasso回归中进行了折中,通过 混合比(mix ratio) r 进行控制:
- r=0:弹性网络变为岭回归
- r=1:弹性网络便为Lasso回归
弹性网络的代价函数 :

一般来说,我们应避免使用朴素线性回归,而应对模型进行一定的正则化处理,那如何选择正则化方法呢?
小结:
常用:岭回归
假设只有少部分特征是有用的:
- 弹性网络
- Lasso
- 一般来说,弹性网络的使用更为广泛。因为在特征维度高于训练样本数,或者特征是强相关的情况下,Lasso回归的表现不太稳定。
api:
from sklearn.linear_model import Ridge, ElasticNet, Lasso
4 Early Stopping [了解]
Early Stopping 也是正则化迭代学习的方法之一。
其做法为:在验证错误率达到最小值的时候停止训练。